商铺名称:陕西欧派克仪表集团有限公司
联系人:周佳()
联系手机:
固定电话:
企业邮箱:113335348@qq.com
联系地址:陕西省西安市长安区郭杜街办香积大道以北仓台西路以西融讯制造港6号-101
邮编:
联系我时,请说是在五金机电网上看到的,谢谢!
产品说明:OPEC-LZ系列金属转子流量计引进德国科隆KROHNE公司转子流量计先进技术和制造,按其用途、结构特点、安装方式不同,有普通型、耐腐型、面板式等多个品种,适用于微小流量的测量,可对极小流量进行测量,最小测量范围达到水0.002L/h,空气0.1L/h。
产品详情

三、技术参数
1基本参数:

2、测置范围:

产品选型表

选型样本下载
使用说明书下载
使用说明书下载典型案例


知识分享
金属转子流量计选型公式以及安装使用注意事项:
金属转子流量计作为小流量计量的一次检测元件,先后在特钢厂氩气计量系统、中型厂氧气计量系统和机械厂氧气计量系统中应用,其中在中型厂氧气计量系统中,金属转子流量计已稳定运行数月,取得了良好的测量效果。下面就金属转子流量计的特点及选型与使用问题做一简述。
一、金属转子流量计的测量原理及特点
金属转子流量计的测量部分由孔板和锥型浮子组成,当流体向上流经管子时,锥型浮子向上移动,在某一位置达到平衡,此时浮子与孔板的环隙保持一定,而环隙面积与浮子上升高度成正比,及浮子的某一高度代表着流过流量的大小,浮子上下移动时,以磁耦合的形式传递到外部指示器,使指示器的指针跟随浮子的位移,并借助凸轮板使指针线性地指示流量的大小。特点:金属转子流量计结构简单,工作可靠,适用范围广,量程比高,一般为10:1。
二、金属转子流量计的选型
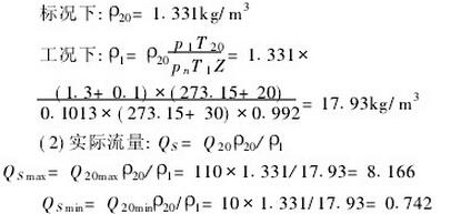
金属转子流量计当测量液体时,一般以标准状态下(20e),水来标注刻度;测量气体时,以标准状态(20e,绝压011013MPa)下,空气标注刻度。所以当对某一测量流体进行仪表选型时,应将其流量范围换算成标准状态下水或空气流量,然后根据换算后的流量范围对照金属转子流量计的标准刻度进行选型。下面以机械厂氧气计量系统中铆焊车间氧气用量为例说明。原始数据如下:
管径:Ф70@5;更大用氧量:110m3/h;最小用氧量:10m3/h;工作压力:113MPa;工作温度:30℃;当地平均大气压:011MPa。
计算:
(1)氧气密度

(3)由金属转子流量计实际使用流体状况下的流量修正公式:

式中:ZS(ZSN)为被测气体在标准状态(工作状态)下压缩系数(一般情况ZSUZSN);QS为工况下氧气的实际流量;QN为标况下空气的实际流量;QN为标况下空气的密度(11293kg/m3);pN为标准大气压;TN为标准温度293115K;QSN为标况下氧气的密度(即Q20);pS为氧气实际工作压力(即p1);TS为氧气实际工作温度(即T1)。
对照金属转子流量计产品的选型说明书,选LZA-25(315~35)最合适。
三、二次表流量上限的设定
还是以铆焊车间用氧量为例,选用的二次表为欧派克公司生产的补偿式智能流量积算仪。
其流量上限FH应为金属转子流量计刻度上限所对应的标准状态下的氧气流量,因为金属转子流量计的刻度为标准状态下空气标注,所以必须将其转换为标准状态下氧气流量。

QN上(QN下):即金属转子流量计按标准状态下空气标定的流量上(下)限。
按所选型号为LZDH-25(315~35)的金属转子流量计,氧气的测量范围为121711m3/h~127111m3/h。基本符合所提11m3~110m3的测量要求。
四、金属转子流量计在安装及使用过程中的注意事项
(1)流量计必须垂直安装,所测流体自下而上经流量计,进出口保证有5倍仪表口径的直管段,对于新安装的管路,流量计安装前应将管道冲洗干净。
(2)为便于检修和更换流量计,在仪表安装时需接旁道管路。
(3)在流量计上游应安装阀门,在下游5~10倍仪表口径处安装流量调节阀。对于小口径仪表在上游应安装过滤器,若被测介质中含有磁性物质,则应在流量计前安装磁过滤器。
(4)当被测介质较脏时,应及时清洗管子与浮子。
(5)金属转子流量计的测量准确度一般为215级,当要求测量准确度较高时,则不宜选择金属转子流量计。
五、结束语
金属转子流量计的使用,解决了小流量无法准确计量的难题,使能源计量工作更加完善。
售后承诺
陕西欧派克仪表集团有限公司的服务与技术支持人员具有丰富的产品知识和现场操作经验,专业化的服务团队能够确保客户得到专业的服务。专业、快速的服务,是我们不变的承诺!
欧派克坚持“以顾客为中心,达到并超越顾客的要求”的理念来为顾客服务公司服务流程。
欧派克服务流程
?以客户为中心:
本公司向用户承诺,本仪表供货时所应提供的硬件、附件在材质和制造工艺上都不存在任何缺陷。从仪表购买之日起开始计算,在3年质保期内,若收到用户关于此类缺陷的通知,本公司对确实有缺陷的产品实行无条件免费维修或免费更换。本公司对所有仪表产品一律保证7天包退3年保修,终身维修。
售后服务承诺:
1、客户的技术疑问,我们承诺在4个小时内处理完毕。
2、返厂维修的仪表我们承诺在3个工作日内出具检测结果,7个工作日内完成维修。
3、仪表返给客户之后2周之内对用户进行回访,并提供自动化相关技术的免费咨询。